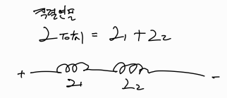
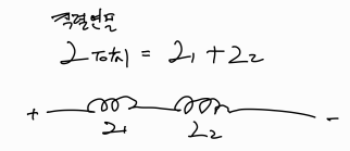
1. 인덕턴스 본질 (AC 성분 차단, DC 성분 통과)
인덕턴스는 L로 표기한다. 전류 I 에 대해 생성되는 자기장의 크기비를 의미한다.
따라서, 인덕턴스 L의 양이 크다면 같은 전류에 대해 더 큰 자기장을 생성할 수 있다.
결국에는 전류의 변화에 의해 유도 기전력을 발생시키는 정도의 물리량(유도용량)으로 정의 할 수 있다.
단위는 핸리[H]로 사용한다.
[간단 수식정리]

1H [핸리] 는 초당 1A의 전류 변화에서의 1V의 기전력을 발생시키는 양이다.




* 인덕턴스의 본질은 전류가 변화하는 반대방향으로 자기자신에게 기전력을 유도하여 결과적으로 전류의 변화를 막는 성질로 작용된다. 전류가 변화하는 AC의 성분을 막는다. 전압이 일정한 DC (전압이 일정하다는 것은 부하가 변화하지 않는 이상 전류가 변하지 않으므로) 성분을 통과하고 전류가 변하더라도 에너지를 자기장의 형태로 저장하고 방출한다.
2. 유도성 리액턴스

DC에서 임피던스는 저항 R 만 존재하고, 주파수가 높아질수록 인덕터의 리액턴스(L은 유도성 리액턴스) 영향으로 임피던스가 상승한다. 따라서 고주파 신호는 통과할 수 없게 된다.
(고주파 일 수록 전류는 낮아지고, 저주파 일 수록 전류는 높아진다. 이상적인 DC 신호에서는 리액턴스는 0이다.)
3. 역기전력 성질 (자기 인덕턴스)
자기 인덕턴스는 자기 자신에게 자기유도 작용을 하여 렌츠의 법칙에 의해 자속의 변화를 막는 방향 즉, 전류의 변화를 막는 방향으로 유도 기전력을 발생시킨다. 이렇게 전류 변화의 반대 방향으로 기전력을 발생시키는데 흔히 인덕터의 역기전력 성질이라 한다. (따라서 인덕터가 사용되는 릴레이 회로에서는 역기전력 제거 회로는 필수 사항이며, 이때 전류의 방향을 막는 다이오드가 사용된다.)
4. 인덕터(L)

인덕턴스의 특성을 강화한 수동소자. 코어에 감은 코일의 수가 많아 질수록 인덕턴스의 크기가 커진다.
인덕터도 전류를 자기장 에너지로 저장하기 때문에 커패시터와 마찬가지로 전력손실이 없는 에너지 저장소자 이지만.... 이상적인 소자는 존재하지 않기 때문에 자체 저항 성분이 있어 저항으로 인해 전력이 소모되고 열이 발생한다. (실제로 릴레이 인덕터의 저항을 측정해보면 150옴정도가 나오더라...)
(1) 어디에 쓰이는가
인덕턴스는 전류의 변화와 반대 방향으로 기전력을 발생시킴으로써, 전류의 변화를 막는 역할을 하므로 전류 안정화의 역할을 한다. 즉, 주파수가 높은 노이즈 신호가 들어오면 인덕터의 임피던스가 높아져 고주파 노이즈 전류의 흐름을 방해하는 역할을 하기 때문에 필터로 많이 사용된다. (저역 통과필터)
(2) 코어 종류에 따른 인덕터의 분류
Air Core 인덕터

코어 없이 코일의 형태로 감아놓은 인덕터. 비교적 용량이 작다. 고주파에서도 전력손실이 없기 때문에 수백 MHz 이상의 고주파수 RF 등에 사용된다.
페라이트 코어 인덕터

흔하게 볼수 있는 형태의 인덕터인데, 꾀 높은 인덕턴스 용량을 가지고 있다. 전력손실이 작기 때문에 중고주파 RF, 스위칭 회로, 필터 등에 많은 분야에 사용되는 형태이다.
(3) 역할 또는 모양에 따른 인덕터의 분류
파워인덕터


주로 전원 회로에 많이 쓰이는 인덕터. 수십 A 까지도 견딜 수 있도록 코일의 굵기가 일반적인 인덕터보다 굵게 만들어 진다. SMD 타입은 케이스로 차폐를 시킨 형태이며, 자기 결합에 의한 전자파 방사를 막을 목적으로 사용된다.
원환체(Toroid) 인덕터

링 형태의 코어에 감은 인덕터를 말한다. 감은 코일 수에 대비하여 높은 자기장을 형성하기에 높은 인덕턴스를 가진다.
전원용, 스위칭용, 필터용으로 다양하게 사용된다.
비드(Bead) : 고주파에서는 저항, 저주파에서는 인덕터


비드는 고주파에서 저항으로 작용되며 고주파 노이즈를 이 저항 성분에 의해 열 에너지로 소비하여 제거하는 목적으로 사용된다.
고주파 신호에 인덕터를 사용하게 되면, 코일에 저장된 자기 에너지로 인하여 진동이 일어나며 나오는 소음이 있을 수 있지만 비드는 노이즈를 열 에너지로 소비해 버리기 때문에 그런 현상은 없다.
인덕턴스가 부정확하기 때문에 정밀한 인덕턴스 활용 회로에는 사용하지 않는다.
'임베디드 HW > PCB 아트웍' 카테고리의 다른 글
| [반도체] BJT (바이폴라 정션 트랜지스터) (0) | 2023.08.29 |
|---|---|
| [반도체] 다이오드 (0) | 2023.08.29 |
| 납땜(Soldering) 장비/ 방법 (0) | 2023.07.29 |
| 스위칭 레귤레이터 (Switching Regulator) (0) | 2023.04.23 |
| [C] 커패시터 (1) | 2023.04.18 |